TW Energy wrote:
唉 這種東西國外...(恕刪)
哈哈 ! 這類早期防干擾裝置在數位濾波普及後 , 就基本沒人買了啦 !
老兄你資訊落後好多年呀 ~~


https://www.novatel.com/assets/Documents/Papers/GAJT-710MS-PS.pdf

TW Energy wrote:
你還在數位濾波器?...(恕刪)
唉 ~ 你這種文組生根本看不懂我在說什麼吧 ....
講簡單點 , 事實上由於飛行物距離衛星兩三萬公里 , 而距離地面干擾
源卻僅數十至數百公里 , 所以接收訊號時對於兩者的相位角度變化量是
完全不同的喔 !
這時再比對飛行器本身內建的INS , 就更能輕易濾除地面假訊號啦 ~
而早期藉由觀測都普勒效應變化量藉以濾除干擾的方式 , 也可以看成是
類似的反干擾手段 ~
以公式來說 , 假設在觀測時刻T 接收到衛星s 所傳播之Fs頻率之載波相
位為φs(T),則訊號必為衛星s 於T-(τ+ △τ)時刻所發射者,τ為訊號傳播
時間。

你一定又會說你看不懂公式對吧 ? 那再講個比較生活化的例子好了 , 不知
你是否注意過你聽飛機在遠方時的音頻幾乎是固定的 , 但飛機接近時音頻卻
會瞬間拉高 ?所以對於衛星制導武器來說 , 藉由Fs的變化量(△Fs)不同 , 就
能輕易分離出遠方衛星訊號及近距離地面干擾的差異啦 !
這樣講解已經夠簡單了吧 ? 你再看不懂我也沒辦法囉 ~
TW Energy wrote:
你連GPS電路方塊圖都畫不出來,你懂什麼鬼東西...(恕刪)
哈欠 ~ 你連都普勒效應都不懂 還想冒充理組的嗎 ~~

至於公式裡的Fs你看到了嗎 ? 你知道對於飛行器來說 , 近距離的干擾及兩
三萬公里外的衛星 , 無論它的相位角度及頻率變化都是不同的喔 ! 都已經
舉飛機的例子給你了 , 你還看不懂 ?
事實上早期時 , 連飛行器與發射源之間距離 , 都能作為排除干擾的手段哩 !
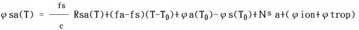
接收器在瞬間時刻T,所接收之衛星載波訊號φs(T)與接收器本身的振盪器所
產生的參考相位φa(T)之相位差稱為瞬間載波觀測值(Carrier Beat Phase
Observation),故φs a(T)可表示為

這就能輕易算出飛行器與發射源間的相對距離啦 !
只能說 以現在技術 , 要排除干擾的手段實在是太多啦 ! 當然以台灣處境來說
能否接受這些現實 , 這又是另外一回事囉 !
內文搜尋
X































































































