我這個人,有時半夜睡不著,腦袋裡算數學,可能是國中太過用功後遺症~~
前兩天四點,一隻大鳥呱呱叫,把我吵醒,我於是在腦中算質數,原本以為底下結論只有質數有,後來發現,帶入任何整數,結果都一樣!!
生命靈數在我看來是個遊戲,得出這結論,我想到量子力學——宇宙是對稱的。只是,為何是這結論??有高人能告訴我嗎??
🍇🍈🍉🍊🍋🍌🍍🍎🍏🍐🍑🍒🍓
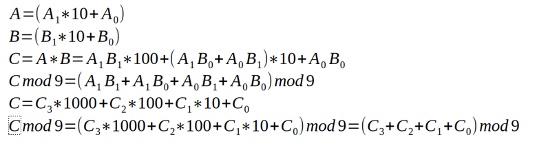
A*B=C
假設A是123,B是456,得C為56088,
把C每個數相加,5+6+0+8+8=27,再相加直至個位數2+7=9,得9。
反過來,假設A是321,B是654,得C為209934,
把C每個數相加,2+0+9+9+3+4=27,再相加直至個位數2+7=9,得9。
又,假設A是213,B是546,得C為116298,
把C每個數相加,1+1+6+2+9+8=27,再相加直至個位數2+7=9,得9。
又,假設A是231,B是564,得C為130284,
把C每個數相加,1+3+0+2+8+4=18,再相加直至個位數1+8=9,得9。
也就是說,A裡的數字不論是幾位數,個位數十位數…百位數都可以,數字也可以隨便排列組合。
B裡的數字不論是幾位數,個位數十位數…百位數都可以,數字也可以隨便排列組合。
A*B=C
C的所有數字相加得到的個位數數字一定一樣!!
56*13=728→7+2+8=17→1+7=8
65*13=845→8+4+5=17→1+7=8
65*31=2015→2+0+1+5=8
56*31=1736→1+7+3+6=17→1+7=8
這是為什麼呢??
🥝🍅🥥🥑🍆🥔🥕🌽🌶🥒🥦🍄🥜
hchou38 wrote:+ 13.00
當A=B 時,此等式...(恕刪)
* 13.00
-----------
+ 169.00
+ 1.00
+ 6.00
+ 9.00
-----------
+ 16.00
+ 1.00
+ 6.00
-----------
+ 7.00
+ 31.00
* 31.00
-----------
+ 961.00
+ 9.00
+ 6.00
+ 1.00
-----------
+ 16.00
+ 1.00
+ 6.00
-----------
+ 7.00
🥭🍍🍌🍋🍊🍉🍈🍇
+ 258.00
* 258.00
-----------
+ 66564.00
+ 6.00
+ 6.00
+ 5.00
+ 6.00
+ 4.00
-----------
+ 27.00
+ 2.00
+ 7.00
-----------
+ 9.00
+ 852.00
* 852.00
-----------
+ 725904.00
+ 7.00
+ 2.00
+ 5.00
+ 9.00
+ 0.00
+ 4.00
-----------
+ 27.00
+ 2.00
+ 7.00
-----------
+ 9.00
+ 582.00
* 582.00
-----------
+ 338724.00
+ 3.00
+ 3.00
+ 8.00
+ 7.00
+ 2.00
+ 4.00
-----------
+ 27.00
+ 2.00
+ 7.00
-----------
+ 9.00
+ 528.00
* 528.00
-----------
+ 278784.00
+ 2.00
+ 7.00
+ 8.00
+ 7.00
+ 8.00
+ 4.00
-----------
+ 36.00
+ 3.00
+ 6.00
-----------
+ 9.00
🌰🍞🥐🥖🥨🥯🥞🥒🥬🥦🌶️
A=B,平方也是一樣的!
smax155 wrote:+ 222.00
有嗎??A是222,B...(恕刪)
* 667.00
-----------
+ 148074.00
+ 1.00
+ 4.00
+ 8.00
+ 0.00
+ 7.00
+ 4.00
-----------
+ 24.00
+ 2.00
+ 4.00
-----------
+ 6.00
+ 222.00
* 766.00
-----------
+ 170052.00
+ 1.00
+ 7.00
+ 0.00
+ 0.00
+ 5.00
+ 2.00
-----------
+ 15.00
+ 1.00
+ 5.00
-----------
+ 6.00
+ 222.00
* 676.00
-----------
+ 150072.00
+ 1.00
+ 5.00
+ 0.00
+ 0.00
+ 7.00
+ 2.00
-----------
+ 15.00
+ 1.00
+ 5.00
-----------
+ 6.00
內文搜尋
X





























































































