• 2

有人可以幫忙解題一下嗎 .... (微積分) !!!

拜託各位老大 ... 我算了老半天還是算不出來

今天是微積分 ( 下 ) 的期中考 ...

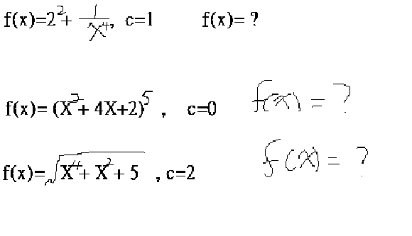
計算微分值 F ' ( C )

有人可以幫忙解題一下嗎  .... (微積分) !!!

2010-07-27 15:23 發佈
文章關鍵字 微積分
我數學很好也很喜歡數學 高中(含)之前的數學回家從不複習
聯考也接近滿分
公式幾乎只背一個(上底+下底*高/2)
高中微積分也很強
但這題我老實說不會
早忘光了
2專開始微積分 工程數學 開始要背公式
因為無法理解
我就放棄數學了

出社會1.20年 數學只用到小算盤上的功能(還很多沒用到呢)
真不知道學生們花那麼多時間在數學上有需要嗎

老師也不敎敎 版主這題微積分是要應用在啥地方
騙我們說算彈道也行呀~~

微積分~~~已經十多年沒碰過了~~~
以前我也自認微積分學的還不錯~~~
但是我竟然看不懂題目~~果然都還給老師了!!
順便作一下(微積分與年收入)的調查好了!~

我不會!
年收入80萬!
我不知道對不對,第一題是5,第二題等等再算,第三題是5
steve31008 wrote:
今天是微積分 ( 下 ) 的期中考 ... ....(恕刪)

今天不是還在放暑假????
要答案?
拿蘋果妹的msn fb 跟圖來換。
暴力元素 wrote:
我不知道對不對,第一...(恕刪)


都不對耶 ....

第一題 是 -2

第二題 是 320

第三題 是 5分之18


.........好難啊= =
steve31008 wrote:
都不對耶 ....第...(恕刪)


我微積分去重修好了~~~~
剛剛沒看到要算F'(C),
我算出的答案是:
1. -4
2. 84
3. 18/5
pejhchen wrote:
剛剛沒看到要算F'(...(恕刪)


我也沒注意到F'
  • 2
內文搜尋
X
評分
評分
複製連結
Mobile01提醒您
您目前瀏覽的是行動版網頁
是否切換到電腦版網頁呢?