![[真相] 機車族籲取消待轉!直接左轉撞車「死亡、重傷高2.7倍」是真的嗎?](https://attach.mobile01.com/attach/202010/mobile01-188dfd6a45261032be8a3e1c364f28a8.png)
於是乎本人基於求知求真的精神,閱讀了該教授相關的文章。這位教授花了相當多的時間研究了交通事故。其過程與手法其實都相當專業!同時有許多文章也被收入在Accident Analysis and Prevention期刊中。基於真正研究者的古風與精神,特別拋磚引玉,如果有錯也歡迎隨時指教與修正。本篇分了兩個部分!
首先是,到底國際期刊真的很屌嗎?所以文章刊登在國際期刊上,就都是無懈可擊,一定可以相信的?
先說答案!基本上只要不是我國(不管你是中華民國,還是你堅持的台灣)本土學術的期刊,皆稱為國際期刊,就是國外的意思,所以沒啥高級的。事實上,很多所謂的國際期刊都是垃圾,這是因為有很多的需求(老師們),自然就會有很多的供給(期刊)。這裡就不細說
不過不用擔心,所謂真金不怕火煉 (大部分來說)!往往真的具有研究價值的文章,都會出現在好的期刊中!而長久一直都是好的期刊,也會在所有學者或研究者心中留下不可抹滅的印象與成為追求的目標!!儘管你不是該領域的學者,但是透過影響力指數還是可以略知期刊好壞的一二。當然這不是絕對的!這是因為不同領域有不同的研究限制,這也會導致影響力指數在不同領域中有不同的代表性!以常見的nature期刊而言,該期刊影響力指數約在40 -42上下!但經濟領域的頂尖期刊(American Economic Review)影響力大約僅有2,而生醫類的期刊也有6 - 10 左右。
所以我們能說nature真的比其他領域期刊好嗎?!坦白說是啦!!哈哈!等等會說為什麼。但是由於領域的不同,所以我們往往還是會將其分類! 所以對於不懂學術的人,你只需要去科技部查詢一下該領域的期刊排名即可。這些都是頂尖的大老師所討論與排序出來的,由於更新過程都需要討論,所以有時候會與實際當年度的期刊影響力與排名有落差,但是!差異相當小,往往差個幾名而已。而對於頂尖的期刊,回到剛剛說的,因為都是有目共睹的關係,幾乎是不太會動的!而多數頂尖大學的老師們,特別是你看到手上有拿到許多科技部經費的那種,往往都是以TOP3 以上為己任,其研究能力真的不是我們這種小咖可以追尋的!
回到該版友貼的期刊 『Accident Analysis and Prevention』,該期刊實際上是一個相當優異的期刊!在『區域研究及地理學門』之中是排名數一數二的!也就是說,通常能上該期刊的文章,都具有相當的水準!這個水準並不是說他做的研究與結論就一定是對的 (又或是唯一)!而是說他在研究的過程與取得的結果是相當高水準的! 當然,好期刊也是有爛文章啦!不過對於一般人來說,這其實不是太重要!那只是行業內的人在看文章時,才會比較在意的事情,就不再贅述。那麼既然是一個這樣好的期刊所收入的文章,為什麼又會引起如此軒然大波呢?這就等到第二部分來分曉。
另外要補充一個事情,SSCI與SCI儘管在主要類別有所區分,許多人往往會聽到SSCI就是社會學科,而SCI就是理工或科學學科。但這是最早在創辦的思想。事實上,由於越來越多的領域會相互跨越,又或是越分越細,進而導致往往不同領域的學者,會跨入另一個領域做文章!這也使得SCI與SSCI在學科的界線上越來越模糊! 這裡並不討論誰優誰劣!有興趣的人自己可以去了解,但是這裡要強調的是!千萬不要以為SCI只有理工相關文章,SSCI只有管理或是人文相關的文章!! 這通常是學術專研不精的人,才會有所誤解!就拿開版的期刊舉例,該文章屬於SCI
![[真相] 機車族籲取消待轉!直接左轉撞車「死亡、重傷高2.7倍」是真的嗎?](https://attach.mobile01.com/attach/202010/mobile01-e40d9d9ebd6c05ccfb30f2742a4f54ef.png)
但你會發現該期刊內容其實橫跨了工程、醫療與社會科學。而各個子領域項目中,甚至還包含了法律等等。所以,期刊本身偏向哪個領域必須要從實際期刊的所包含的文章類型來看!而台灣目前所查到的,是將該期刊歸類在人文相關的部分,估計可能是因為交通、運管之類的科系多屬於管科的緣故。但是這並不是說該期刊只有被歸類在這個部分!也許在醫療也會可能收入該期刊!只是本人非醫學系的,這個問題就交給其他專家回答了!因此當你問我,這期刊好不好!我會回答說還不錯!至少影響因子有3 - 4的水準!而且科技部對其分類也是屬於A以上的期刊。
再來是,本篇文章的重點,到底這篇文章在說什麼?同時我也會補充一下該教授其他相關的研究
該教授其實一直投入在交通事故相關的研究中,也許是醫學大學的關係,其實內容多與事情發生成因與發生後的災害影響程度有關。小弟因為這個機會順便閱讀了該教授先前的文章,其中對於在什麼情境下,騎士可能會選擇直接左轉,而不到待轉區有一些很有趣的研究!有興趣的人可以閱讀一下,該教授用了兩台攝影機,同時輔以機率模型去做的,取樣地點也有明確標示,所以是有蠻多可以討論的地方,文章 (Motorcyclists violating hook-turn area at intersections in Taiwan: An observational study),先說這篇文章重點在於探討不願進待轉區的可能原因與產生的機率,千萬不要有過度的解讀

,以下截圖為取樣的路段![[真相] 機車族籲取消待轉!直接左轉撞車「死亡、重傷高2.7倍」是真的嗎?](https://attach.mobile01.com/attach/202010/mobile01-0ca1e4ed5f89f16fbeb70753d3c3fcaa.png)
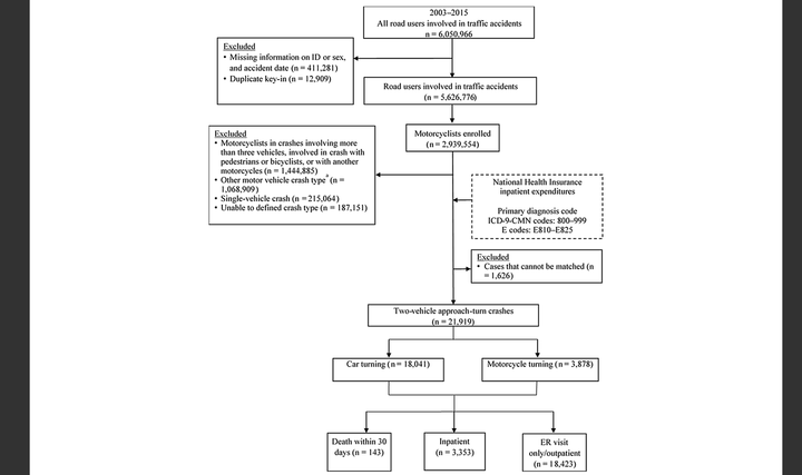
再來是這次鬧的沸沸揚揚的文章!簡單來說就是那些記者平時不好好念書,為了配合一些既定的目標,所以胡亂引用期刊內容,甚至誤導一般社會大眾!!然後一些配合的網友,就開始喜孜孜地開版來製造紛爭與混亂!實際上這篇文章(Evaluation of injuries sustained by motorcyclists in approach-turn crashes in Taiwan) 只是單純在討論兩種車禍情境下(事故已發生),對於騎士造成的損傷程度的機率。該研究主要將跨越不同車道所導致的事故災害分為 1. 騎士左轉跨越對向車道造成的傷害 與 2. 汽車左轉跨越對向車道造成的傷害
![[真相] 機車族籲取消待轉!直接左轉撞車「死亡、重傷高2.7倍」是真的嗎?](https://attach.mobile01.com/attach/202010/mobile01-6f6f563d0faeb8620f2ab9835139bc82.png)
而記者所引述的東西叫做勝算比,其實主是要用於機率模型中比較兩個因素之間發生的機率!而2.77是指機車左轉跨越對向車道時所受到嚴重傷害的機率會高於汽車左轉跨越對向車道造成的嚴重傷害。注意!這裡討論的是發生嚴重傷害的機率,而不是誰容易受傷,或誰不容易受傷的機率!所以請不要自己解讀成!喔!所以機車只要不跨越對向車道就不會受到傷害或是受到傷害的機率比較低!那是完全錯誤的!!
![[真相] 機車族籲取消待轉!直接左轉撞車「死亡、重傷高2.7倍」是真的嗎?](https://attach.mobile01.com/attach/202010/mobile01-bd9185697c0739e85292f00019c2fd57.png)
但這篇文章剛好提供了一些有趣的數據與結果!例如說,從2003 - 2015年所收集該類型的車禍數據中,汽車左轉跨越對向車道所造成的傷害比例為18,041起,約機車左轉跨越對向車道(3878)的六倍之多!!! 所以說!我們是不是應該要禁止汽車左轉?如此才是真正治標治本的方法!畢竟汽車駕駛左轉造成的傷害數量遠遠高於機車呀!!
當然不是,交通的安全本來就是用路人一起維護的!至於兩段式轉彎,雖然不合理,但可能是降低騎士受到嚴重傷害的一種方法(因為汽車駕駛很危險

)!只是,我想問的是,所以我們就沒有更好的方法了?畢竟在世界各國,鮮少有需要用待轉的方式。以上是對於該文章的一些平反與初淺的解讀。主要目的是希望版友在討論問題時,可以用求真求知的方式,一起找尋更好的解決辦法!而不要淪於新聞媒體操弄的工具。以上有不足之處,還請專業的補充

10/ 11更新
有鑒於有些人對於標示字句感到敏感,所以對於內文標記做了點修改。但小弟要強調的是,這篇文章的目的是為了拋磚引玉,希望整個論壇的不要一直陷入無意義的爭執中。小弟開車也騎車,對於我們的交通亂象其實也很無言。但還希望大家在討論相關的事情時,能用求知求真的精神,而不是單憑一個報紙或是自身經驗來行事,這無助讓我們社會更好。雖然我也知道上這裡就是打打嘴砲:) 我自己也很愛。不過還是能更好點!畢竟mobile01也是小弟這種小肥宅愛逛的地方。
期刊的審查並非審查該文章是否對錯!!而是審差該文章的研究過程與取得結果的合理性!
另外還是要強調,在看過該老師的文章後,至少2013 - 2018發在該期刊的文章皆看完。個人是很喜歡這樣的研究結果,裡面很詳細的敘述實驗的過程,並且有些很有趣的結論。文章有些強調的重點是希望讀者不要有權威或專家效應,彷彿一個好的期刊或文章就批評不得!小弟知道華人文化長久以來是受這樣的方式,所以往往導致我們容易會有專家效應。
但其實正向的相互批評與指責,反而才是進步真正的開端。當前提是,你也必須要真的做好功課,確定自己的東西是正確的。個人一直很喜歡看我們領域某些年份的文章。原因無他,因為你可以看到全世界上一些真的在該領域研究突出的老師,互相在期刊上指證對方的錯誤!那個過程真的是相當精彩,精彩到你甚至懷疑是不是兩個人都套好招了。過程中你可以學到兩邊對於事情不同的觀點與思維方式。而且都是相互從對方建構的邏輯、推論、研究過程與結果出發討論
並非從自身角度來說服對方。 最近很閒,廢話也比較多些


























































































